Opony całoroczne: Ile lat i km można jeździć bezpiecznie?
Szymon Szulc - strona 3
Autor Aleks Czerwiński - najnowsze wpisy
Waga felgi tira: stal vs aluminium - która jest lepsza?
Płukanie silnika przed wymianą oleju: instrukcja i korzyści
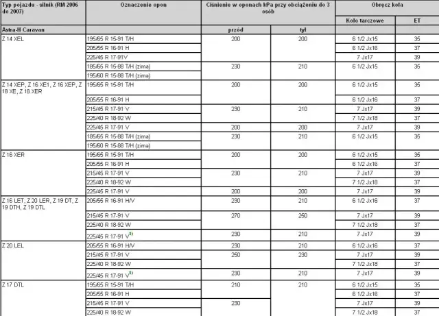
Opony do Audi A6 C6 quattro: przewodnik po rozmiarach i modelach
Autor Igor Dąbrowski - najnowsze wpisy
Ile kosztuje wymiana oleju Dacia? Sprawdź ceny ASO i oszczędź
Dyferencjał W124: Objawy awarii, wymiana oleju i naprawa | Poradnik
BMW E46 320d: Jaki płyn chłodniczy G11 wybrać? Poradnik
Regeneracja maglownicy Warszawa: Koszt, czas, wybór serwisu
Publikacje autora
Kiedy zmienić opony na letnie? Sprawdź kluczowe zasady i koszty
Kiedy zmieniać opony na letnie? Sprawdź kluczowe zasady 7°C, aspekty prawne i koszty wymiany. Zadbaj o bezpieczeństwo i portfel!
Motul 5W-40: X-cess czy X-clean? Wybierz mądrze i uniknij podróbek
Wybierz idealny olej Motul 5W-40: X-cess czy X-clean? Poznaj różnice, aprobaty i uniknij podróbek. Sprawdź, który Motul pasuje do Twojego silnika!
Ile kosztuje wymiana opon 2026? Aktualny cennik i oszczędności
Ile kosztuje wymiana opon w 2026? Poznaj aktualne ceny, dopłaty (TPMS, Run Flat) i praktyczne porady, jak obniżyć koszty. Zaplanuj swój budżet!
Opel Corsa D: Rozmiary felg, ET, rozstaw śrub kompletny przewodnik
Szukasz felg do Opel Corsa D? Sprawdź kompletny przewodnik: rozstaw śrub (4x100/5x110), ET, otwór centrujący i rozmiary opon 14-17 cali. Wybierz bezpiecznie!
Wymiana maglownicy Alfa 156: Poradnik krok po kroku i koszty
Chcesz wymienić maglownicę w Alfa 156? Poznaj objawy, koszty (regeneracja vs nowa), narzędzia i instrukcję krok po kroku. Sprawdź nasz poradnik!
Jak sprawdzić rok opony? Odczytaj kod DOT i zadbaj o bezpieczeństwo
Dowiedz się, jak sprawdzić rok opony za pomocą kodu DOT. Zrozum, dlaczego wiek opony jest kluczowy dla bezpieczeństwa i kiedy należy ją wymienić. Sprawdź nasz poradnik!
Zapowietrzone sprzęgło? Odpowietrz je sam - Poradnik krok po kroku
Zapowietrzone sprzęgło? Dowiedz się, jak samodzielnie odpowietrzyć sprzęgło krok po kroku. Poznaj objawy, narzędzia i sprawdzone metody. Uniknij błędów!
Jak dobrać olej Motul? Poradnik: Serie, normy, lepkość
Wybierz idealny olej Motul dla swojego auta! Poznaj serie 8100, 6100, Specific, dobierz lepkość i normy. Uniknij błędów, chroń silnik. Sprawdź poradnik!
Dyferencjał: Jak działa, rodzaje i objawy awarii? | Poradnik
Dyferencjał: klucz do stabilności auta. Dowiedz się, czym jest mechanizm różnicowy, jak działa, jakie są jego typy i objawy awarii. Zadbaj o swoje auto!
Motul Multi DCTF: Opinie, Zastosowanie i Kompatybilność Skrzyń
Motul Multi DCTF: Dowiedz się, dlaczego to idealny olej do skrzyń DCT/DSG. Pełna kompatybilność, normy i opinie. Zadbaj o płynność i ochronę!