Ten artykuł to kompleksowy przewodnik po doborze felg do Opla Astry H. Dowiesz się, jakie parametry techniczne są kluczowe, aby uniknąć błędów i zapewnić bezpieczeństwo oraz komfort jazdy, niezależnie od wersji silnikowej Twojego samochodu. Jako ekspert w tej dziedzinie, postaram się przekazać Ci wszystkie niezbędne informacje, które pomogą Ci podjąć świadomą decyzję.
Jakie felgi pasują do Astry H: kluczowe parametry i rozmiary
- Opel Astra H występował z dwoma rozstawami śrub: 4x100 (słabsze silniki benzynowe) oraz 5x110 (mocniejsze benzyny i wszystkie diesle).
- Średnica otworu centrującego (CB) to 56,6 mm dla 4x100 i 65,1 mm dla 5x110.
- Zalecany zakres odsadzenia (ET) to 35-42 mm, aby uniknąć obcierania kół.
- Rekomendowane średnice felg to 15-18 cali, z szerokościami od 6,5 do 8 cali.
- Przy felgach nieoryginalnych z większym otworem centralnym niezbędne są pierścienie centrujące.
- Zawsze weryfikuj gwint śrub (M12x1.5) i dopasowanie gniazda w feldze (stożkowe lub kuliste).
Dobór felg do Astry H: dlaczego jest kluczowy i nie zawsze oczywisty?
Precyzyjny dobór felg do Opla Astry H jest absolutnie kluczowy, a niestety często niedoceniany. To nie tylko kwestia estetyki, ale przede wszystkim bezpieczeństwa, komfortu jazdy i trwałości podzespołów. Wiele osób myśli, że wystarczy znać średnicę i rozstaw śrub, ale to dopiero początek. Różnice w parametrach, wynikające głównie z wersji silnikowej, mogą wprowadzić w błąd i doprowadzić do poważnych problemów. Niewłaściwy wybór felg może skutkować obcieraniem kół, drganiami kierownicy, a nawet szybszym zużyciem elementów zawieszenia. Dlatego tak ważne jest, aby podejść do tego tematu z należytą starannością.
Dwa standardy montażu: pierwszy krok do uniknięcia pomyłki
Pierwszą i najbardziej fundamentalną informacją, którą musisz zweryfikować przed zakupem jakichkolwiek felg do Astry H, jest rozstaw śrub. Opel Astra H, w zależności od wersji silnikowej, występował z dwoma różnymi rozstawami: 4x100 oraz 5x110. Pominięcie tego kroku to niemal pewny błąd, który uniemożliwi montaż felg. To podstawowa informacja, która determinuje, jakie felgi w ogóle możesz brać pod uwagę.
Jak niewłaściwe felgi mogą wpłynąć na bezpieczeństwo i koszty eksploatacji?
Montaż felg o niewłaściwych parametrach to prosta droga do wielu problemów. Z mojego doświadczenia wiem, że konsekwencje mogą być naprawdę kosztowne i niebezpieczne:
- Obcieranie kół: Jeśli odsadzenie (ET) jest zbyt niskie lub szerokość felgi zbyt duża, koła mogą obcierać o nadkola podczas skręcania lub na nierównościach. To nie tylko irytujące, ale może uszkodzić oponę i elementy karoserii.
- Drgania kierownicy: Niewłaściwy otwór centrujący lub brak pierścieni centrujących prowadzi do nieprawidłowego osadzenia felgi na piaście. Efektem są irytujące drgania kierownicy, szczególnie przy wyższych prędkościach, co znacząco obniża komfort i bezpieczeństwo.
- Szybsze zużycie łożysk i elementów zawieszenia: Złe ET zmienia ramię zataczania, co obciąża łożyska kół i inne elementy zawieszenia (np. sworznie, końcówki drążków kierowniczych). To z kolei prowadzi do ich przedwczesnego zużycia i konieczności kosztownych napraw.
- Negatywny wpływ na bezpieczeństwo i prowadzenie pojazdu: Samochód z niewłaściwie dobranymi felgami może prowadzić się niestabilnie, mieć gorszą przyczepność i wydłużoną drogę hamowania. W skrajnych przypadkach może to prowadzić do utraty kontroli nad pojazdem.
Rozstaw śrub: jak sprawdzić ten najważniejszy parametr w Astrze H?
Rozstaw śrub to absolutnie najważniejszy parametr, który musisz zweryfikować. Bez niego, nawet najpiękniejsza felga nie będzie pasować. Najpewniejszym sposobem jest po prostu policzenie śrub w kole. Jeśli masz cztery śruby, rozstaw to 4x100. Jeśli pięć 5x110. Możesz również poszukać tej informacji w instrukcji obsługi pojazdu lub na tabliczce znamionowej, często umieszczonej na słupku B lub pod maską. Zawsze ufaj fizycznej weryfikacji, bo to ona jest ostateczna.Wersja 4x100: które silniki ją posiadają?
Rozstaw śrub 4x100 w Oplu Astrze H jest charakterystyczny dla słabszych wersji silnikowych. Zazwyczaj dotyczy to jednostek benzynowych o mniejszej pojemności, takich jak 1.4 i 1.6. Jeśli posiadasz jeden z tych silników, z dużym prawdopodobieństwem Twoja Astra H ma właśnie ten rozstaw śrub. Jest to ważne, ponieważ felgi z mocniejszych wersji (5x110) po prostu nie będą pasować.
Wersja 5x110: standard dla mocniejszych silników i diesli
Rozstaw śrub 5x110 to zdecydowanie najczęściej spotykany wariant w Astrze H. Dotyczy on wszystkich mocniejszych jednostek benzynowych, takich jak 1.8, 2.0 Turbo, a także wszystkich silników diesla, niezależnie od ich pojemności (np. 1.7 CDTI, 1.9 CDTI). Jeśli masz diesla lub mocniejszą benzynę, możesz być niemal pewien, że potrzebujesz felg z rozstawem 5x110.
Praktyczny poradnik: Gdzie szukać informacji o rozstawie w Twoim aucie?
Aby mieć 100% pewności co do rozstawu śrub w Twojej Astrze H, polecam następujące metody:
- Fizyczne sprawdzenie liczby śrub: To najprostsza i najbardziej niezawodna metoda. Zdejmij kołpak (jeśli masz felgi stalowe) lub po prostu spójrz na felgę. Policz śruby. Cztery śruby to 4x100, pięć śrub to 5x110.
- Instrukcja obsługi pojazdu: W instrukcji znajdziesz sekcję poświęconą danym technicznym, gdzie powinien być jasno określony rozstaw śrub.
- Tabliczka znamionowa: Czasami informacje o rozstawie śrub są umieszczone na tabliczce znamionowej pojazdu, która może znajdować się na słupku B (po otwarciu drzwi kierowcy) lub pod maską.
- Internetowe konfiguratory felg: Wiele sklepów internetowych oferuje konfiguratory, gdzie po wybraniu marki, modelu i rocznika, system podpowiada odpowiednie parametry. Pamiętaj jednak, aby zawsze zweryfikować te dane z własnym samochodem.
Kluczowe dane techniczne, które musisz znać przed zakupem felg
Poza rozstawem śrub, istnieje kilka innych, równie ważnych parametrów technicznych, które musisz wziąć pod uwagę. To one decydują o tym, czy felga będzie idealnie pasować, zapewniając bezpieczeństwo i komfort. Pominięcie któregokolwiek z nich może prowadzić do problemów, o których wspominałem wcześniej.
Otwór centrujący (CB): dlaczego jego średnica (56,6 mm vs 65,1 mm) jest tak ważna?
Otwór centrujący (CB Center Bore) to średnica otworu w centralnej części felgi, który pasuje na piastę koła. Jego prawidłowe dopasowanie jest absolutnie kluczowe dla prawidłowego osadzenia felgi i eliminacji drgań. Dla Astry H z rozstawem 4x100 średnica otworu centrującego wynosi 56,6 mm. Natomiast dla wersji z rozstawem 5x110, CB to 65,1 mm. Jeśli otwór w feldze jest zbyt duży, felga nie będzie idealnie centrować się na piaście, co niemal natychmiast objawi się drganiami kierownicy, szczególnie przy wyższych prędkościach. W takich przypadkach niezbędne są pierścienie centrujące, o których opowiem za chwilę.Odsadzenie (ET): złoty środek dla Astry H, czyli jak uniknąć obcierania kół
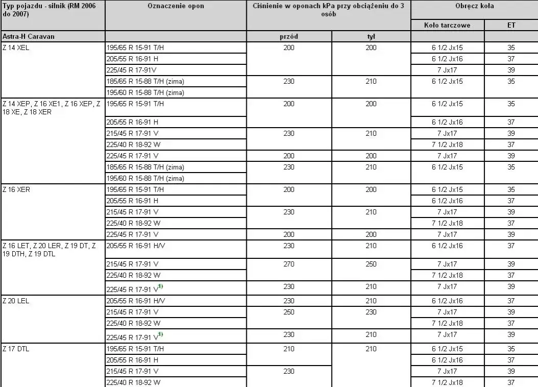
Odsadzenie (ET Einpresstiefe, czyli głębokość osadzenia) to parametr, który określa, jak głęboko felga jest osadzona w nadkolu. Mierzy się go od płaszczyzny montażowej felgi do jej geometrycznego środka. Im niższe ET, tym bardziej koło wystaje na zewnątrz. Im wyższe, tym bardziej chowa się w nadkolu. Dla Opla Astry H zalecany zakres ET to 35-42 mm. Fabryczne felgi często miały ET w okolicach 35-39 mm. Zbyt niskie ET (np. poniżej 30 mm) może spowodować, że koło będzie obcierać o błotnik. Z kolei zbyt wysokie ET (np. powyżej 45 mm) może sprawić, że felga będzie ocierać o elementy zawieszenia lub układu hamulcowego. To naprawdę delikatna równowaga, którą warto zachować dla bezpieczeństwa i komfortu.
Szerokość i średnica: jakie rozmiary są bezpieczne i rekomendowane?
Wybór odpowiedniej szerokości i średnicy felgi jest ważny zarówno dla estetyki, jak i dla prawidłowego funkcjonowania samochodu. Oto rekomendowane rozmiary dla Astry H:
- Średnice felg: Fabrycznie montowano felgi o średnicach od 15 do 17 cali. Najpopularniejsze i bezpieczne rozmiary to 15, 16, 17, a nawet 18 cali. Montaż felg 19-calowych jest możliwy, ale wymaga bardzo starannego doboru opon i może znacząco obniżyć komfort jazdy, o czym opowiem później.
- Szerokości felg: Typowe szerokości felg, które bez problemu pasują do Astry H, mieszczą się w zakresie od 6,5 do 8 cali. Przy szerszych felgach (np. 8,5 cala) trzeba już bardzo precyzyjnie dobrać ET i oponę, aby uniknąć obcierania.
Rola pierścieni centrujących: kiedy są absolutnie niezbędne?
Pierścienie centrujące to mali, ale niezwykle ważni bohaterowie w świecie felg. Są one absolutnie niezbędne, gdy kupujesz felgi nieoryginalne (tzw. aftermarketowe), które mają większy otwór centralny niż wymagany przez piastę Twojej Astry H. Na przykład, jeśli masz Astrę H z CB 65,1 mm, a kupujesz felgi z otworem 72,6 mm (częsty rozmiar uniwersalny), musisz zastosować pierścienie centrujące, które zredukują tę średnicę do 65,1 mm. Ich funkcja jest prosta: zapewniają idealne osadzenie felgi na piaście, co eliminuje drgania kierownicy i zapewnia prawidłowe centrowanie koła. Bez nich, nawet idealnie wyważone koło będzie bić.
Rekomendowane rozmiary felg i opon: gotowe zestawy dla Astry H
Aby ułatwić Ci wybór, przygotowałem zestawienie najpopularniejszych i rekomendowanych rozmiarów felg wraz z pasującymi do nich oponami. Pamiętaj, że to są sprawdzone konfiguracje, które zapewniają dobry kompromis między wyglądem, komfortem i bezpieczeństwem.
Rozwiązanie ekonomiczne: Felgi 15-calowe i dedykowane opony
Felgi 15-calowe to najbardziej ekonomiczne i często najwygodniejsze rozwiązanie dla Astry H, zwłaszcza jeśli cenisz sobie komfort jazdy i niższe koszty zakupu opon. Rekomendowane parametry to felgi o szerokości 6.5Jx15 z odsadzeniem ET35. Do takich felg idealnie pasują opony w rozmiarze 195/65 R15. To standardowy rozmiar, który zapewni dobrą amortyzację nierówności i niskie opory toczenia.Najpopularniejszy wybór: Felgi 16-calowe jako kompromis między komfortem a wyglądem
Felgi 16-calowe to bez wątpienia najpopularniejszy wybór wśród właścicieli Astry H. Oferują one doskonały kompromis między komfortem jazdy a poprawioną estetyką. Samochód wygląda na nich znacznie lepiej niż na "piętnastkach", a jednocześnie zachowuje akceptowalny poziom tłumienia nierówności. Typowe parametry to felgi 6.5Jx16 z odsadzeniem w zakresie ET37/ET39. Do takich felg najlepiej pasują opony w rozmiarze 205/55 R16.
Dla fanów stylu: Co musisz wiedzieć o montażu felg 17- i 18-calowych?
Jeśli zależy Ci na bardziej sportowym wyglądzie i lepszej precyzji prowadzenia, felgi 17- i 18-calowe będą dobrym wyborem. Musisz jednak pamiętać, że wiąże się to z nieco niższym komfortem jazdy i większą podatnością opon na uszkodzenia. Dla 17 cali rekomenduję felgi 7Jx17 ET39 z oponami 215/45 R17 lub nieco szerszymi 225/45 R17. W przypadku 18 cali, optymalne będą felgi 7.5Jx18 lub 8Jx18, a do nich opony 225/40 R18. Przy tych rozmiarach precyzyjny dobór opon jest kluczowy, aby uniknąć problemów z obcieraniem i zachować odpowiedni indeks nośności.Czy felgi 19-calowe to dobry pomysł w Astrze H? Potencjalne korzyści i zagrożenia
Montaż felg 19-calowych w Astrze H jest możliwy, ale wymaga bardzo przemyślanego podejścia. Z pewnością poprawią one wygląd samochodu, nadając mu bardziej agresywny charakter. Jednak musisz liczyć się z kilkoma zagrożeniami. Przede wszystkim, komfort jazdy drastycznie spadnie ze względu na bardzo niski profil opony. Zwiększy się również ryzyko uszkodzenia felg i opon na nierównościach czy krawężnikach. Dodatkowo, takie felgi mogą wymagać specjalistycznego doboru opon o odpowiednich indeksach nośności i prędkości, a także mogą wpływać na zużycie paliwa i osiągi. Zawsze zalecam ostrożność i konsultację z ekspertem przed podjęciem decyzji o tak dużych felgach.
Częste pułapki i błędy, których musisz unikać przy wyborze felg
Nawet z najlepszymi intencjami, łatwo o błędy przy doborze felg. Chcę Cię przestrzec przed najczęstszymi pułapkami, które mogą prowadzić do niepotrzebnych kosztów i frustracji. Moja rada: zawsze bądź czujny i weryfikuj wszystko dwukrotnie.
Czy felgi z Vectry C lub Zafiry B będą pasować? Analiza kompatybilności
Często spotykam się z pytaniem, czy felgi z innych modeli Opla, takich jak Zafira B, Vectra C czy Signum, będą pasować do Astry H. Odpowiedź brzmi: często tak, ale z zastrzeżeniami. Wiele z tych modeli, zwłaszcza te z mocniejszymi silnikami, ma rozstaw śrub 5x110 i otwór centrujący 65,1 mm, co czyni je potencjalnie kompatybilnymi z mocniejszymi wersjami Astry H. Jednakże, zawsze należy dodatkowo zweryfikować szerokość i odsadzenie (ET). Felgi z większych samochodów mogą mieć inne ET lub być zbyt szerokie, co może prowadzić do obcierania o nadkola lub elementy zawieszenia w Astrze H. Zawsze sprawdź te parametry, zanim dokonasz zakupu.
Problem niepasujących śrub: na co zwrócić uwagę przy zmianie felg stalowych na aluminiowe?
To bardzo częsty błąd! Opel Astra H używa śrub o skoku gwintu M12x1.5. Jednakże, to nie tylko gwint jest ważny. Kluczowe jest dopasowanie gniazda śruby do gniazda w feldze. Felgi stalowe zazwyczaj wymagają śrub z gniazdem kulistym, natomiast felgi aluminiowe najczęściej wymagają śrub z gniazdem stożkowym. Użycie niewłaściwych śrub może prowadzić do uszkodzenia felgi, a co gorsza, do poluzowania się koła podczas jazdy. Zawsze upewnij się, że masz odpowiednie śruby do nowych felg aluminiowych często trzeba je dokupić oddzielnie.
Pokusa niskiej ceny: Ryzyko związane z zakupem używanych felg bez weryfikacji
Kupowanie używanych felg to kusząca opcja ze względu na niższą cenę, ale wiąże się z dużym ryzykiem. Niska cena często może oznaczać ukryte wady. Zawsze, ale to zawsze, musisz dokładnie zweryfikować stan używanych felg. Szukaj śladów pęknięć, spawów, odkształceń czy śladów prostowania. Felga, która była prostowana, nigdy nie będzie tak wytrzymała jak nowa i może pęknąć w najmniej odpowiednim momencie. Dodatkowo, upewnij się, że parametry (rozstaw, ET, CB) są zgodne z Twoimi potrzebami. Lepiej zainwestować w sprawdzone, choć droższe felgi, niż ryzykować bezpieczeństwo i ponosić późniejsze koszty napraw.
Lista kontrolna: idealne felgi do Opla Astry H
Aby upewnić się, że wybierasz idealne felgi do swojej Astry H, przygotowałem dla Ciebie krótką listę kontrolną:
- Sprawdź rozstaw śrub: Policz śruby w kole 4x100 (słabsze benzyny) lub 5x110 (mocniejsze benzyny i diesle).
- Zweryfikuj średnicę otworu centrującego (CB): 56,6 mm dla 4x100, 65,1 mm dla 5x110.
- Upewnij się co do odsadzenia (ET): Szukaj wartości w zakresie 35-42 mm.
- Wybierz odpowiednią szerokość felgi: Zazwyczaj 6,5-8 cali.
- Dobierz średnicę felgi: Najczęściej 15, 16, 17 lub 18 cali.
- Przygotuj odpowiednie opony: Dopasuj rozmiar opony do średnicy i szerokości felgi (np. 205/55 R16 do 16-calowych felg).
- Zaplanuj zakup pierścieni centrujących: Jeśli felga nieoryginalna ma większy otwór centralny niż piasta.
- Zadbaj o właściwe śruby/nakrętki: Gwint M12x1.5, ale upewnij się, że gniazdo (stożkowe/kuliste) pasuje do felgi.
- Dokładnie sprawdź stan felg używanych: Szukaj pęknięć, spawów, odkształceń.
